Ai là người dễ rơi vào khủng hoảng tuổi trung niên nhất?
Vượt qua đời sống không phải lúc nào cũng dễ dàng với một số người ở tuổi trung niên. Đây là lý do vì sao.
NHỮNG ĐIỂM CHÍNH
- Khái niệm “khủng hoảng tuổi trung niên” phần lớn đã bị bác bỏ, nhưng điều đó không có nghĩa là ai cũng nhẹ nhàng đi qua giai đoạn trung niên của đời mình.
- Một nghiên cứu mới đã chỉ ra nhóm người cụ thể có nguy cơ cao nhất gặp vấn đề sức khỏe tinh thần ở độ tuổi 50.
- Hiểu được những yếu tố khiến bạn dễ tổn thương sẽ giúp bạn học cách già đi một cách vững vàng và lành mạnh hơn.
Khi nghĩ đến tuổi trung niên, nhiều người lập tức liên tưởng đến một giai đoạn đầy khủng hoảng. Rốt cuộc, “khủng hoảng tuổi trung niên” là một trong những ý niệm bền bỉ nhất của tâm lý học. Tuy nhiên, đó là một ý niệm mang nhiều màu sắc huyền thoại hơn là thực tế. Nhưng nếu bạn đang cảm thấy giai đoạn trung niên thật khó nhọc, thì việc phủ nhận huyền thoại ấy cũng chẳng giúp ích được gì.

image: Monkey Business Images/Shutterstock
Ai dễ tổn thương nhất ở tuổi trung niên?
Trong một công trình nghiên cứu lớn về chính sách y tế vừa được công bố, David Rehkopf của Đại học Stanford cùng một nhóm cộng sự xuất sắc (2025) đã tập trung vào những người gặp khó khăn cả về sức khỏe thể chất lẫn tinh thần ở giai đoạn trung niên. Thủ phạm không nằm ở tuổi tác; mà nằm ở thu nhập.
Giả định nền tảng mà các tác giả bắt đầu là khái niệm “nén bệnh tật”. Đây là thuật ngữ các nhà thống kê dùng để mô tả một nhóm dân số sống lâu hơn nhưng khỏe mạnh hơn, họ hầu như chỉ ốm yếu ở những năm cuối đời. Như người ta vẫn nói, họ “ra đi khi đôi ủng vẫn còn mang”. Vấn đề là xã hội dường như không đi theo hướng này, ít nhất là với tầng lớp trung lưu thấp và những người có thu nhập thấp nhất.
Vì sao lại như vậy, theo Rehkopf và cộng sự, cần được lý giải bằng một phân tích dân số toàn diện. Bởi lẽ, ngoài thu nhập đơn thuần, sức khỏe kém hơn của nhóm người này ở Mỹ còn có thể bắt nguồn từ “những yếu tố quen thuộc khác tạo ra chênh lệch thu nhập và sức khỏe, như chủng tộc, một chỉ dấu cho việc phơi nhiễm với phân biệt chủng tộc mang tính cấu trúc, béo phì và hút thuốc” (tr. 2).
Nhìn kỹ nhóm tuổi trung niên có nguy cơ cao
May mắn thay, nhóm nghiên cứu có trong tay một cơ sở dữ liệu khổng lồ do Trung tâm Kiểm soát và Phòng ngừa Dịch bệnh Hoa Kỳ (CDC) cung cấp, thông qua các khảo sát yếu tố nguy cơ hằng năm (BRFSS). Từ năm 2003 đến 2022, có 5,3 triệu người tham gia trả lời, báo cáo số ngày họ cảm thấy sức khỏe thể chất và tinh thần kém, cũng như mức độ khó khăn trong sinh hoạt thường ngày (điểm càng thấp càng tốt).
Trong số 5,3 triệu người này (độ tuổi từ 43 đến 74), phần lớn cũng cung cấp thông tin nhân khẩu học, bao gồm thu nhập, chủng tộc–sắc tộc, chỉ số khối cơ thể và thói quen hút thuốc. Các nhóm thu nhập được chia như sau:
Thu nhập thấp: 15% thấp nhất
Trung lưu thấp: 16–45%
Trung lưu cao: 46–75%
Thu nhập cao: từ 76% trở lên
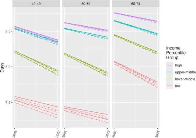
Dựa trên cách phân chia thu nhập này, đồng thời điều chỉnh các yếu tố khác ngoài tuổi tác, kết quả cho thấy một bức tranh rất rõ nét: sức khỏe tinh thần tự đánh giá của những người ở độ tuổi 50, đặc biệt trong nhóm thu nhập thấp, kém hơn đáng kể trong suốt thời gian nghiên cứu. Bạn có thể thấy điều đó qua các kết quả dưới đây:

Hãy chú ý đến đường màu đỏ đi xuống của nhóm 50 tuổi thuộc nhóm thu nhập thấp nhất. Họ tụt xa hơn hẳn so với các nhóm khác, không chỉ ở chỉ số này mà cả ở hai chỉ số còn lại, trong suốt khung thời gian nghiên cứu.
Một phát hiện đáng chú ý khác là điểm số cao hơn ở nhóm người từ 60 đến 74 tuổi, kể cả những người thuộc nhóm thu nhập thấp. Các tác giả nhận thấy điều này không phải do “chọn lọc tử vong” (tức là người yếu hơn đã qua đời trước 60 tuổi). Thay vào đó, họ cho rằng điều này liên quan đến khả năng tiếp cận chăm sóc y tế thông qua Medicare và Medicaid, cũng như các khoản trợ cấp An sinh Xã hội. Những người thu nhập thấp ở độ tuổi lớn hơn có khả năng tự nuôi sống bản thân nhờ các chương trình này cao hơn so với nhóm 50–59 tuổi.
Bạn cũng có thể tự hỏi: còn những người từ 40 đến 49 tuổi thì sao? Chẳng phải đây mới là độ tuổi thường gắn với khủng hoảng trung niên ư? Thực tế là không, ít nhất là ở hai nhóm thu nhập cao hơn. Một lần nữa, ta thấy rằng tuổi tác không phải là yếu tố quyết định hạnh phúc và sức khỏe tinh thần trong những năm trung niên của đời người.
Quay trở lại nhóm 50–59 tuổi có nguy cơ cao, các tác giả tổng hợp thêm kết quả từ những nghiên cứu khác và đi đến kết luận rằng những người thuộc nhóm thu nhập thấp dễ rơi vào “những cái chết vì tuyệt vọng”. Xu hướng này xuất hiện ở hầu hết các nhóm chủng tộc và sắc tộc. Khi những người này tiến dần đến tuổi nghỉ hưu, quá trình già đi có thể trở nên khắc nghiệt hơn, bởi họ ít có khả năng tích lũy tiết kiệm hay tài sản để nâng đỡ bản thân khi không còn đi làm. Triển vọng của họ không mấy sáng sủa.
Bạn có thể làm gì?
Chúng ta đang sống trong một thời kỳ đầy bất định, đặc biệt là về nguồn tài trợ cho chính những chương trình xã hội mà Rehkopf và cộng sự cho rằng đang giúp đỡ người dân sau khi nghỉ hưu. Giữa muôn vàn bận rộn thường ngày, việc theo dõi các cuộc tranh luận về ngân sách và chính sách hiện tại có thể giúp bạn chuẩn bị tinh thần cho những thay đổi sắp tới.
Ở một góc nhìn rộng hơn, dữ liệu từ BRFSS cũng có thể giúp bạn hiểu rõ hơn những trải nghiệm hiện tại của chính mình. Có thể bạn đang cảm thấy mệt mỏi hơn, xin nghỉ bệnh nhiều hơn bình thường, hoặc đơn giản là không còn là “phiên bản cũ” của mình nữa. Bạn không hề đơn độc.
Nhiều nghiên cứu khác của CDC cho thấy có một bộ phận không nhỏ trong dân số đang gặp vấn đề về sức khỏe tinh thần nhưng vẫn chưa tìm đến trị liệu. Bạn có thể tìm hiểu thêm qua trang web của CDC, nơi cung cấp nhiều thông tin hữu ích về trầm cảm, lo âu và các vấn đề tâm lý khác trong cộng đồng dân cư Hoa Kỳ.
Tóm lại, khi các nhà hoạch định chính sách còn đang tranh luận về việc tài trợ cho các chương trình xã hội, ta có quyền hy vọng rằng họ sẽ lắng nghe những nghiên cứu như thế này. Còn về phần bạn, bảo vệ sức khỏe tinh thần của mình, dù bạn đang ở độ tuổi hay mức thu nhập nào, vẫn là bước quan trọng nhất mà bạn có thể làm cho chính mình.
References
Rehkopf, D. H., Furstenberg, F. F., Jackson, C., Rowe, J. W., & and The Research Network on an Aging Society. (2025). Relation of income to trends in well-being by age: implications for the future older “forgotten” lower middle class. Health Affairs Scholar, 3(2). https://doi.org/10.1093/haschl/qxae183
Tác giả: Susan Krauss Whitbourne PhD, ABPP
Nguồn: Who's Most at Risk of Having a Midlife Crisis? Psychology Today
.png)
